3 4多少分
来源:中国职校招生网 时间:2022-07-26 09:20:49
广东省2022年普通高校招生考生填报志愿时间为6月28日—7月4日。
为便于考生填报志愿,6月26日,广东省教育考试院公布了2022年普通高考成绩各分数段数据,以确保志愿填报工作顺利进行。
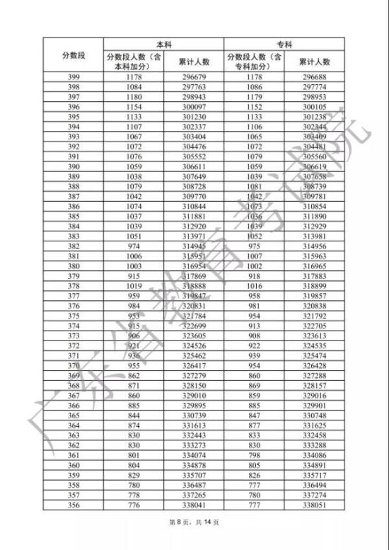
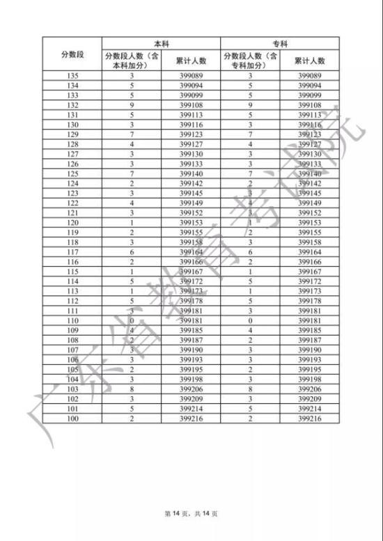
记者梳理发现,今年普通类(历史)和普通类(物理)上线人数共334331人,两者比去年均有所增加,一共增加16442人;不过,600分及以上高分段考生人数则有所降低。
从数据来看,选考历史科的考生272196人,有5人660分以上,638分以上有104人,608分以上有1053人;370分的考生最多,共1127人。
选考物理科的考生共399216人,有6人700分以上,682分以上有109人,660分以上有1022人;475分的考生最多,共1724人。
快来看看,你排位怎样?前面有多少人?
1.广东省2022年高考普通类(历史)分数段统计表
(滑动查看)













2.广东省2022年高考普通类(物理)分数段统计表
(滑动查看)














3.广东省2022年普通高考广播电视编导类总分分数段统计表
4.广东省2022年普通高考书法类总分分数段统计表
5.广东省2022年普通高考体育类总分分数段统计表
6.广东省2022年普通高考舞蹈类总分分数段统计表
7.广东省2022年普通高考音乐学类总分分数段统计表
8.广东省2022年普通高考音乐表演-声乐类总分分数段统计表
9.广东省2022年普通高考音乐表演-器乐类总分分数段统计表
10.广东省2022年普通高考美术类总分分数段统计表
11.广东省2022年普通高考播音与主持普语类总分分数段统计表
12.广东省2022年普通高考播音与主持粤语类总分分数段统计表
请点击下方二维码查阅附件
明天就要填报志愿了
对于高考志愿填报
还有哪些疑惑的地方
下面这些视频替你解答
问题一
问题二
问题三
问题四
问题五
问题六
一键查询
去年广东高校招生录取信息
为高考志愿填报提供参考
戳下图
↓↓↓

祝愿所有考生
金榜题名!
综合 | 广东省教育考试院、南方 客户端
来源: 南方日报







